Электрофизические свойства горных пород. курсовая работа (т). геология. 2021-05-22
Содержание
Введение
Глава 1. Состав горных пород.
Пористость горных пород
.1 Виды и классификации пор горных
пород
Глава 2. Теоретическое исследование
элекрофизических свойств образцов кернов Ковыктинского месторождения
2.1 Виды поляризации и ее характеристики
.2 Диэлектрическая проницаемость
пород-коллекторов
2.3
Эквивалентные схемы для вычисления
и
слоистого диэлектрика
2.4 Абсорбционная емкость
диэлектриков
2.5
Определение постоянной релаксации ![]()
Глава
3. Методика экспериментального исследования
3.1 Изучение диэлектрических характеристик
образцов кернов ковыктинского месторождения в зависимости от частоты
3.2 Изучение диэлектрических
характеристик образцов кернов ковыктинского месторождения в зависимости от
температуры
Выводы
Список использованных источников
Приложения №№1-4
Введение
В последнее время в научном
мире все большее значение имеют многочисленные теоретические и
экспериментальные исследования зависимости физических свойств горных пород и
пористых материалов от структуры их порового пространства. Структурное
моделирование дисперсных систем широко используется в самых различных областях
знания: начиная от углубленного изучения свойств горных пород и кончая теорией
и технологией процессов химической адсорбции.
Горные породы представляют
собой, по-видимому, наиболее распространенный класс пористых тел, изучение
которых имеет решающее значение для многих областей человеческой деятельности.
Добыча полезных ископаемых, возведение инженерных сооружений, земледелие,
ирригация – вот далеко не полный перечень технологических процессов, где
поровая структура коренных горных пород и их поверхностных слоев во многом
определяет те приемы и методы, с помощью которых добиваются успехов в развитии
технического прогресса.
Основной практической задачей
изучения массива горных пород является определение существующих в нем различных
физических полей: электрического, напряжений и деформаций, давлений и скоростей
фильтрации, насыщенности, скоростей диффузии и переноса тепла. Подобные задачи
решаются с помощью известных методов математической физики, возможность
использования которых в современную эпоху широкого развития
электронно-вычислительной техники обусловливается лишь знанием соответствующих
граничных условий и физических свойств исследуемого массива. Изучение многих из
этих свойств предусматривает проведение сложных лабораторных или натурных
исследований, поэтому представляет значительный интерес разработка новых
методов определения физических свойств, основанных на существовании между ними
вполне определенных количественных связей. Практически все физические свойства
пористой горной породы должны определяться весьма ограниченным числом факторов,
к которым относятся: особенности взаимодействия фаз в системе горная
порода-насыщающие ее жидкости, структура порового пространства горной породы и,
наконец, свойства ее минерального скелета. Если под элементами структуры
порового пространства понимать пористость, удельную поверхность и геометрию
пор, то основным фактором, определяющим практически все физические свойства
породы, является структура порового пространства.
Сложность структуры порового
пространства реальных горных пород обусловливает значительные трудности в
создании универсальных моделей, которые позволили бы связать друг с другом все
физические свойства породы. Однако исследования в этом направлении,
продолжающиеся до последнего времени, заставляют смотреть в будущее с известной
долей оптимизма.
Среди многочисленных свойств
дисперсных минералов важное место занимает электроповерхностные свойства,
исследование которых широко развернулось во всем мире за последние пятнадцать
лет. Исследование состояния вещества на поверхности твердого тела отражает ряд
явлений, к которым относятся электрофорез, элесктроосмос, потенциал протекания,
мембранное равновесие, суспензионный эффект, электрометрия дисперсных систем и
т.д. Практическое применение этих процессов возможно на основе четких
представлений о свойствах вещества вблизи поверхности твердого тела.
Многочисленные эксперименты
убедительно доказали, что электроповерхностные свойства минералов во многом
обусловлены их кристаллическим строением, ионообменной способностью,
гидрофильностью, дисперсностью.
Глава 1. Состав горных пород.
Пористость горных пород
.1 Виды и классификации пор горных пород
Горные породы состоят из минерального скелета,
или твердой фазы, и порового пространства, обычно заполненного жидкой и газовой
компонентами. Таким образом, пористость- это свойство породы содержать не
заполненные твердой фазой объемы внутри нее. Поры – это небольшие пространства,
не занятые минеральным скелетом, замкнутые либо сообщающиеся между собой и
атмосферой /3/.
Связанные между собой поры принято называть
открытыми, а не связанные – закрытыми. Суммарный объем закрытых Vз
и открытых Vот пор горной
породы дает объем всех пор или характеризует ее общую пористость V
=Vз Vот (1.1)
Коэффициентом общей пористости называют
отношение суммарного объема пор V1
к общему объему сухой породы V2

(1.2)
По аналогии вводятся понятия
коэффициентов открытой kот, закрытой kз и
эффективных статической k1 и динамической k2
пористости:

, 
, 
, 
(1.3)
где Vот, Vз , Vсв, Vф –
соответственно объемы открытых, закрытых пор, а также пор, в которых могут находиться
свободные вода, жидкость, газ, и пор, по которым вода, нефть и газ фильтруются
при заданном градиенте давления.
Эти коэффициенты необходимы при
подсчете емкостей коллекторов: 1) открытой, образованной взаимосвязанными
порами; 2) закрытой; 3) полезной, т. е. открытой за вычетом объема связанной
воды, и 4) содержащей извлекаемые запасы нефти и газа. Таким образом,
информация о пористости горных пород нужна для подсчета запасов нефти, газа и
воды, для проектирования законтурного и внутриконтуркого заводнения нефтяных
пластов, солянокислотной обработки коллекторов, для выбора пластов под
подземные хранилища газа, а также места сброса и захоронения промышленных
отходов. Большое значение имеет учет коэффициентов пористости при интерпретации
результатов геофизических исследований скважин /4/.
Коэффициенты пористости обычно
выражают в процентах.
Значения коэффициентов общей
пористости минералов невелики. Диапазон их изменений лежит в пределах от 0,95%
у граната гроссуляра до 2,14% у слюды мусковита и 3,17% у флогопита.
Большинство же минералов имеют коэффициент общей пористости ниже 1%’.
Табл. 1. Значения коэффициента общей
пористости k горных
породи полезных ископаемых /5/.
Порода, | k, % | Порода, | k, % |
Осадки, | Магматические | ||
Песок | 4-50 | Гранит | 0,3- |
Коэффициенты общей и открытой пористости разных
горных пород и полезных ископаемых варьируют в чрезвычайно широких пределах. В
зависимости от минерального состава, условий залегания, степени диагенеза,
возраста, структуры осадков или породы они изменяются от значений, близких к
нулю, до 90% (табл.1).
Самые высокие значения коэффициента общей
пористости характерны для первичных осадков: песчаных, глинистых,
известковистых, диатомитовых, радиоляриевых, бокситовых и других илов на дне
рек, озер, морен и океанов.
При диагенезе илы уплотняются, обезвоживаются,
превращаются в осадочные породы с меньшей пористостью. С погружением породы на
глубину в несколько километров, ростом давления и температуры за счет процессов
катагенеза и метаморфизма осадочные породы уплотняются еще больше,
обезвоживаются, цементируются, перекристаллизовываются, что приводит к еще
большему понижению пористости. Например, родоначальники группы глинистых пород
– глинистые илы имеют коэффициент общей пористости 80%.
Коэффициент общей пористости песчаных и
алевролитовых пород колеблется от десятых долей до 50 и более процентов и для
глинистых карбонатных и кремнистых групп пород- от значений, меньших десятых
долей, до 50-70%. Пределы изменения коэффициентов пористости соляных пород
менее широкие – от единиц до первых десятков процентов. Значительно более узок
диапазон изменения коэффициентов пористости магматических и метаморфических
пород, исключая некоторые разновидности эффузивов и туфов. Большинство руд
характеризуется низкой пористостью, коэффициенты общей пористости горючих
полезных ископаемых – торфа и угля – меняются в очень широком интервале – от 3
до 95%.
Существует классификация, в соответствии с
которой все породы подразделяются на пять групп в зависимости от значений
коэффициента общей пористости k
в %: >20 – высокопористые, 15-20 – повышенно-пористые, 10-15 –
среднепористые, 5-10 – пониженно-пористые, <5 – низкопористые.
Коэффициент закрытой пористости ![]()
редко превышает 1-5%, а для рыхлых
пород близок к нулю ввиду отсутствия не связанных между собой пор. Коэффициенты
эффективной статической пористости различных песчано-глинистых пород меняются в
пределах от нуля до 40%, а динамической- от 0 до 30%. Причем чем выше градиент
давления, приложенного к образцу, тем значение k2 в большей
степени стремится к k1.
По происхождению поры подразделяют
на первичные и вторичные /3/.
Первичные поры образуются во время
формирования горных пород. Форма первичных пор в основном определяется
структурой осадочных, эффузивных, интрузивных и метаморфических пород. В ходе
диагенеза, уплотнения, цементации, метаморфизма горных пород их поры,
естественно, изменяют форму и величину.
Вторичные поры – это трещины,
каверны, каналы, образующиеся в результате экзогенных процессов физического и
химического выветривания, перекристаллизации, тектогенеза. Трещины в породе
возникают в результате резкого изменения ее объема при перепадах температуры,
тектонических напряжениях, в ходе процессов кристаллизации, доломитизации и др.
Каверны чаще образуются при растворении, выщелачивании кислыми подземными
водами трещиноватых известняков, доломитов, мергелей и гипсов.
Форма пор определяется главным
образом их происхождением и составом и может- быть самой разнообразной. Для
рыхлых обломочных хорошо сортированных осадков характерны ромбоидальные поры;
те же породы, но уплотненные, имеют тетраэдрические поры. У глин, слюд и других
пород пластинчатого строения поры щелевидные. Слабо сортированные осадки имеют
поры в виде расширяющихся и сужающихся канальцев правильной формы. Для
магматических, метаморфических, диагенезированных осадочных и других скальных
пород характерны трещиноватые поры, для эффузивных- пузырчатые, для лессов –
каналовидные, для известковых и кремнистых туфов – ячеистые и т. п.
Каналовидные поры обычно имеют биохимическое происхождение и остаются на месте
гниющих корней, ходов червей и других животных.
Таким образом, структура поровых
пространств в основном зависит от типа пород и степени их метаморфизма. На рис.
1.1 показаны различные структуры и виды пор.
Эффективный, (средний) диаметр пор,
или их поперечное сечение, характеризует размер пор, который существенно
меняется для различных типов пород. По особенностям перемещения порового флюида
и характеру связей поровой жидкости с твердой компонентой в зависимости от
эффективного диаметра поры классифицируются на крупные сверхкапиллярные,
капиллярные, тонкие субкапиллярные и микропоры.

. 
Рис. 4. Структуры поровых
пространств и виды пор:
а – высокопористые породы с хорошо
окатанными и отсортированными зернами; б – то же, но с пористыми зернами; в –
низкопористые породы с плохо окатанными и отсортированными зернами; г – породы
пониженной пористости с хорошо окатанными отсортированными, но
сцементированными зернами; д – разновидности пор: 1 – растворения; 2 –
трещинные; 3 – щелевидные; 4 – лабиринтообразные; 5 – замкнутые; 6 –
клиновидные
Эффективный, (средний) диаметр пор,
или их поперечное сечение, характеризует размер пор, который существенно
меняется для различных типов пород. По особенностям перемещения порового флюида
и характеру связей поровой жидкости с твердой компонентой в зависимости от
эффективного диаметра поры классифицируются на крупные сверхкапиллярные,
капиллярные, тонкие субкапиллярные и микропоры.
Крупные сверхкапиллярные поры имеют
диаметр более 10-1 мм. Она характерны для галечников, гравия, крупно- и
среднезернистых песков и других сортированных слабосцементированных обломочных
пород. Для выщелоченных карбонатных пород и гипсов типичны мегапоры,
обусловленные карстом.
Капиллярные поры с эффективным
диаметром от 10-4 до 10-1 мм типичны для менее сортированных, более плотных
осадочных пород: мелкозернистых песков, песчаников, обломочных карбонатных и
других подобных образований.
Тонкие субкапиллярные или мезопоры
имеют эффективный диаметр в пределах 2·10-6-10-4 мм. Такие поры характерны для
глин, микрокристаллических известняков, диатомитов, трепелов, пепловых туфов и
других природных сорбентов.
Микропоры с диаметром менее 2·10-6
мм обнаружены лишь у цеолитов.
В породах со сверхкапиллярными
порами доля связанной с твердой фазой жидкости небольшая. Поэтому основной
объем жидкой фазы перемещается согласно законам гидродинамики под действием
силы тяжести и внутреннего пластового давления. В капиллярных порах
относительная доля связанной воды существенно больше и как следствие –
подвижность флюида ниже. В субкапиллярных порах подземные воды прочно связаны с
твердым скелетом породы и адсорбированными поверхностью пор ионами, в
результате чего подвижность жидкой фазы минимальна. Диаметр микро-пор соизмерим
с размером молекул, поэтому в них находится исключительно прочносвязанная вода.
Поровый состав обломочных пород
зависит от их гранулометрического состава, т. е. от распределения отдельных
зерен породы по крупности /4/. Для крупно- и среднезернистых хорошо
отсортированных слабо сцементированных пород характерно преобладание
относительно крупных пор близкого размера. У мелкозернистых пород превалируют
очень мелкие поры. В слабо отсортированных несцементированных обломочных
породах поры разных размеров распределены приблизительно равномерно.
Поровый состав плотных осадочных
пород зависит не только от гранулометрии, но и от степени цементации. В
сцементированных породах доля мелких и субкапиллярных пор обычно возрастает по
сравнению с крупными.
Хемогенные карбонатные породы имеют
сложный поровый состав в зависимости от их генезиса, структуры и степени
вторичных изменений, включая каверзность, сульфатизацию и пр.
Поровый состав кристаллических пород
в основном определяется их микро- и макротрещиноватостью.
Поровое пространство горных пород,
как правило, заполнено тонким глинистым веществом, газом, электролитом, который
представляет собой природные воды, либо флюидом, состоящим из смеси жидких и
газообразных углеводородов. По этой причине пористость, равно как глинистость,
влагоемкость, проницаемость – это петрофизические параметры, которые решающим
образом определяют такие важные условия локализации и извлечения минерального
сырья, как транспортабельность рудоносных флюидов, емкость пластов-коллекторов
нефти и газа, отдача нефтяного пласта при эксплуатации и т. п.
Поры горных пород в природных
условиях в естественном залегании, как правило, заполнены водой вместе с
растворенными в не» солями, нефтью или газом.
Влагоемкость горной породы – это ее
способность удерживать некоторое количество влаги. Она зависит от свойств
породы и термобарических условий /5/.
С возрастанием влажности породы
изменяются многие ее петрофизические свойства. Одновременно меняются свойства
удерживаемой ею воды. Поскольку этот процесс протекает ступенчато, выделяют
следующие разновидности влагоемкости: полная, гигроскопическая, максимальная
адсорбционная, капиллярная, подвешенная, максимальная гигроскопическая.
Полная влагоемкость – это свойство
породы удерживать разный максимально возможный объем Vв воды на
определенный объем Vс сухой породы. У набухающих пород
объем воды может превышать объем сухой породы, что обусловлено проникновением
межслоевой воды между пакетами кристаллической решетки глинистых и слюдистых
минералов: монтмориллонита, гидратных разновидностей галлуазита, вермикулита и
др. У ненабухающих пород, наоборот, 10-20% объема перового пространства может
быть занято защемленным воздухом.
Гигроскопическая влагоемкость
типична для иссушенных солнцем горных пород верхней части зоны аэрации пустынь
и полупустынь в дневное время. Содержание воды в порах таких пород может быть
даже ниже соответствующего максимальному количеству прочносвязанной воды,
образующемуся при относительной влажности воздуха порядка 55%.
Максимальная адсорбционная
влагоемкость – это свойство горной породы поглощать и удерживать разный объем Vв (или массу
Mв)
прочносвязанной воды на определенный объем Vс (массу Mс) сухой
породы.
Капиллярная влагоемкость – свойство
горной породы удерживать разный объем Vв связанной
и капиллярно-подпертой воды на определенный объем Vс сухой
породы. Капиллярно-подпертой называется вода в капиллярных порах, сообщающихся
с уровнем грунтовых вод /5/.
Высота капиллярной подзоны у крупно-
и среднезернистых песков минимальна и составляет 0,3-0,6 м, у слабо
сортированных породе алевролитовой фракцией – порядка 1 м, а у существенно
глинистых пород достигает 2-3 м. Поэтому, чем выше от зеркала грунтовых вод,
тем выше расположена подзона подвешенной влагоемкости.
Капиллярная влагоемкость типична для
более тонких пор.
Подвешенная влагоемкость – это
свойство пород удерживать различный объем связанной Vв или
капиллярно-взвешенной Vв воды на определенный объем Vс сухой
породы.
Подзона взвешенной влагоемкости
характерна для глубин, где меньше воды и больше воздуха, чем в более глубоко
расположенной подзоне капиллярно-подвешенной влагоемкости. В порах описываемой
подзоны находятся воздух, прочно- и рыхлосвязанная подвешенная вода, не
сообщающаяся с уровнем грунтовых и капиллярно-подпертых вод и удерживаемая, в
частности, за счет менисковых давлений.
Максимальная гигроскопическая
влагоемкость характерна для относительной влажности воздуха в порах породы выше
94%. При этом в пустотах минерального скелета удерживается максимальный объем
прочносвязанной воды и объем воды углов пор, или так называемой стыковой воды.
Таким образом, максимальная гигроскопическая влагоемкость-это свойство пород
поглощать из воздуха при его относительной влажности больше 94% и удерживать
различный объем прочносвязанной и стыковой воды на определенный объем сухой
породы.
В нефтегазоводонасыщенных породах
сумма объемов пор, занятых нефтью Vн, газом Vг и водой Vв, равна
общему объему порового пространства пород V:
V = Vн Vг Vв (1.4)
Отсюда следует очевидное соотношение

(1.5)
Отношения 
, 
и 

называют соответственно коэффициентами
нефте, -газо- и водонасыщения.
Нефтегазонасыщенным породам отвечают
следующие соотношения:
![]()
, ![]()
(1.6)
Для нефтенасыщенных V= Vн Vг,
следовательно,

(1.7)
а для газонасыщенных V= Vг Vв, поэтому

(1.8)
Соотношение нефти, воды и газа в
поровом пространстве нефтегазонасыщенных пород зависит от способности
поверхности минерального скелета породы смачиваться или отталкивать от себя
воду /4/. Первое из этих свойств получило название гидрофильности, а второе –
гидрофобно-сти. На рис. 2 показано размещение воды и нефти в отдельно взятой
поре гидрофильных и гидрофобных пород. При полном водонасыщении поры в
смачиваемой породе вода занимает весь ее объем, лишь в; центральной части может
оставаться небольшое количество нефти (рис. 2, I, а). В поре гидрофобного
коллектора, наоборот, между твердой фазой и водой, расположенной в ее
центральной части, всегда остается тонкий слой нефти или битума (рис. 2, II,
а).
В месторождениях углеводородного
сырья в природе преимущественно распространены гидрофильные пласты-•
коллекторы, у которых вода смачивает твердую фазу. Лишь в редких случаях
встречаются частично гидрофобные коллекторы.
Коэффициент нефтенасыщения kн определяют
на образцах с помощью специального прибора С. Л. Закса. Нефтенасыщение пластов,
отдающих чистую нефть, колеблется от 50-60% у гидрофильных, до 95% у
гидрофобных коллекторов. Значения коэффициента нефтенасыщения меняются по
вертикали геологического разреза месторождения углеводородов. В общем случае
сверху вниз газовая залежь сменяется собственно нефтяной и далее водяным
пластом, залегающим на водоупоре. Однако в большинстве случаев верхняя часть
месторождения представлена плавающей на воде нефтяной либо газовой залежью. Для
нее характерны предельно высокие значения коэффициентов нефте- или
газонасыщения: Водонефтяной (ВНК) или водогазовый (ВГК) -контакты разделяют
зону предельного насыщения и зону недонасыщения. В пределах последней значения kн(kг)
уменьшаются по экспоненте от максимальных, характерных для-вышел ежащей зоны
предельного насыщения, до критических, начиная с которых при испытании скважины
получают уже не чистую нефть, а нефть с водой, а затем только воду.

Рис. 5. Взаиморасположение воды и
нефти (или воды и газа) в единичной поре гидрофильных (I) и гидрофобных (II) коллекторов
при разной степени их насыщения.
Насыщение коллектора водой: а –
полное; б – выше критического; в – критическое; г – ниже критическокого. 1 –
вода; 2 – нефть.
Глава 2. Теоретическое исследование
диэлектрических характеристик образцов кернов Ковыктинского месторождения
.1 Виды поляризации и ее
характеристики
В электромагнитных полях породы
поляризуются, проводят электрический ток и часть энергии поля теряется –
переходит в тепловую (джоулевы потери в постоянном и диэлектрические в
переменном полях). Кроме того, породы поляризуются и проводят ток при
продавливании через них жидкости и приведении в контакт с другими влажными
породами или электролитами /8/.
Механизм поляризации,
электропроводности и потерь у вещественно-, фазово-, структурно-неоднородных
пород чрезвычайно сложен, различен у ионно- и электронно-проводящих пород,
зависит от частоты поля, температуры, давления.
Поляризация в электрическом
поле сводится к разделению в породах носителей зарядов разного знака и
появлению в любом объеме пород электрического дипольного момента. Поле вызывает
в породах ряд процессов, способствующих их определенной поляризации, которая
для ионно-проводящих пород {песков, песчаников, известняков и др.) в постоянном
поле объясняется процессами: упругого смещения (электронов, атомов, ионов),
ориентации (диполъных, сильносвязанных молекул), релаксации (ориентационной
дипольной и ионной тепловой), миграции (объемной поляризации),
концентрационного перераспределения, электроосмоса.
Электронно-ионно-проводящие
породы (угли, колчеданные, железные и другие руды) поляризуются аналогично
ионно-проводящим. Правда, кроме указанных выше, в данном случае на поляризацию
влияют еще электролитические процессы. Поляризация упругого смещения,
релаксационная и миграционная возникают и спадают относительно быстро.
Остальные виды процессов поляризации развиваются и спадают гораздо медленнее
(медленные виды поляризации). В связи с этим с ростом частоты поляризующего
тока наблюдается все меньше различных видов поляризации.
Поляризация смещения (упругая).
Она возникает в породах, содержащих заряженные и взаимосвязанные частицы,
способные смещаться относительно друг друга под действием поля. Поляризация
смещения подразделяется на электронную, атомную, ионную и упругую
дипольную/3,4/.
Чисто электронная поляризация /7/
возможна у неполярных атомов н молекул пород (атомов аргона, гелия, ксенона,
молекул азота, кислорода, водорода и других газов), минералов с валентными
кристаллами из однотипных атомов (сера, алмаз, графит, селен). Электронная поляризация
наряду с ионной возникает и у ионных кристаллов. При этом виде поляризации в
электрическом поле Е смещаются относительно ядер орбиты электронов неполярных
атомов и ионов среды и в объеме
возникает дипольный момент – вектор
поляризации:

(2.1)
Где
![]()
– дипольный момент атома – вектор с
направлением от отрицательног
к положительному заряду
– заряд
электрона; l – среднее
расстояние между полюсами диполя.
Электронная поляризация
завершается за 10-14- 10-15 с при применении частот поляризующего поля от
нулевых до оптических.
Атомная поляризация наблюдается у пород с
валентными кристаллами из разносортных атомов /4/. Последние связаны в молекулы
силами обменного взаимодействия валентных электронов (ковалентная связь), и
электроны внешних оболочек перераспределяются между атомами несимметрично, смещаясь
в направлении атомов, имеющих более сильные связи; поэтому атомы приобретают
заряды различной полярности. Поляризация под действием поля возникает в
результате относительного смещения в молекулах заряженных атомов различного
сорта.
Атомная поляризация ![]()
устанавливается за время 10-11 –
10-13 с, несколько большее времени становления электронной поляризации.
Поляризация ионного упругого смещения /4/ предполагается у кварца, корунда,
кальцита. Она возможна и в других ионных кристаллах (галит, сильвин и т. д.),
кристаллическая решетка которых содержит плотноупакованные разнотипные ионы.
Поляризация D в
электрическом поле сводится к смещению ионов разного знака от положения их
равновесия в кристаллической решетке. Она появляется за время 10-13 – 10-14 с.
Ионная поляризация слабо зависит от
частоты (до частоты инфракрасной области спектра). С ростом температуры
поляризуемость увеличивается из-за ослабления упругой связи между ионами. Поляризация
растет у минералов, ионы которых имеют большое значение отношения 
(ae –
поляризуемость молекулы ионного кристалла; re – радиус
иона) /3,4/
Поляризация упругого смещения Dу полярных
молекул /4/ характерна для дипольных диэлектриков с спльносвя-запными полярными
молекулами, способными поворачиваться под действием поля лишь па небольшие
углы.
Релаксационная (тепловая)
поляризация /4/. Она возникает у пород, содержащих слабосвязанные частицы,
которые при тепловом движении могут изменять положение равновесия. Различают
ориентационную дипольную, ионную тепловую и электронно-релаксационную
поляризацию.
Ориентационная дипольная
поляризация Dо /4/ характерна
для пород, в составе которых содержатся вещества (вода, газы) с дипольными
полярными относительно слабо- и упругосвязанными молекулами. Полярные молекулы
с достаточной энергией теплового движения разрывают упругие : связи с другими
такими же молекулами и перебрасываются из одного равновесного состояния в
другое. Поляризация выражается в реимущественной ориентации осей дипольных
молекул по направлению поля. Тепловое молекулярное движение препятствует этому
процессу, дезориентируя молекулы. Вследствие этого оси дипольных моментов до действия
поля имеют любое пространственное направление, и результирующий дипольный
момент породы равен нулю.
Время
установления релаксационной
поляризации (время релаксации) дипольных молекул полярных жидкостей (нефть, вода)
![]()
где
– высота потенциального барьера,
разделяющего два положения равновесия; А – постоянная величина, слабо зависящая
от абсолютной температуры Т; А- постоянная Больцмана.
Породы с ориентационной поляризацией
обладают электронной и нередко атомной или ионной поляризацией, связанной с их
тпердой фазой.
С ростом температуры и частоты поля
ориентационная поляризация уменьшается. Она успевает развиться за 10-10-10-7 с.
Поляризация D наблюдается
не только у жидкой и полярной газовой фазы пород, но и у минералов с решеткой
кольцевого и каркасного типа и неплотно упакованными частицами
(кристаллогидраты, минералы глин, цеолиты). Все они содержат воду различного
типа. Представителями этих групп минералов являются: кордиерит, берилл,
сподумен, мусковит, биотит, гипс, тальк и др /3,4/.
Ионно-релаксационная тепловая
поляризация Dи /4/
возможна у ионных кристаллов со слабосвязанными ионами, возникновение которых
вызывается дефектами и особой структурой кристаллической решетки. Минералы и
породы, в составе которых содержатся эти кристаллы, имеют также электронную и
ионную поляризацию. Слабосвязанные ионы при тепловом движении срываются с мест
их закрепления и перемещаются в кристаллах на расстояния, сравнимые с
межатомными, преодолевая потенциальный барьер. Внешнее поле создает избыточный
переброс ионов в своем направлении, что приводит к поляризации породы. Этот
процесс компенсируется обратной диффузией ионов.
Время релаксации и траектории
полярных молекул и слабосвязанных понос при тепловой поляризации определяются
структурой и температурой пород.
Электронно-релаксациоиная
поляризация Dэ /4/ возникает
из-за избыточных «дефектных» электронов или «дырок», которые активизируются
тепловой энергией.
Миграционная (макроструктурная,
объемная) поляризация /4/. Этот вид поляризации предполагается у пород,
проводящие компоненты) которых разделены непроводящими или воздухом. В
рассматриваемом случае за короткое время положительные ионы проводящих
включений перемещаются по полю, а отрицательные – в противоположном направлении
и задерживаются в пределах включений у межфазной поверхности, так как второй
компонент породы практически не проводит электрический ток. При этом виде
поляризации возможны также миграция электронов к аноду и скопление
положительных ионов на противоположном конце зерна с электронной проводимостью,
включенного в непроводящую фазу.
В результате описанных
процессов проводящие частицы породы поляризуются (миграционная поляризация) и
приобретают дипольный момент d
подобно большой молекуле. Рост поляризационного заряда заканчивается, если его
поле полностью скомпенсировано приложенным полем. В установившемся режиме поле
и ток в проводящих частицах отсутствуют. Миграционная поляризация завершается
за время 10-6-10-3 с, близкое ко времени установления ориентационной
(дипольной) поляризации.
Время установления этих видов
поляризации сравнимо с частотой используемых электромагнитных полей, поэтому
они называются по сравнению с электронными и ионными видами медленными. Еще
более медленными являются рассматриваемые ниже виды электрохимической
поляризации.
Суммарная поляризация
складывается из различных видов поляризации, возможных у данного минерала или
породы при определенных частоте электрического поля, температуре и давлении.
Наибольших значений она достигает у электронно-ионно-проводящих и
структурно-неоднородных пород в постоянном, достаточно напряженном и длительно
действующем электрическом поле, при низких температурах и давлениях. Средняя
результирующая поляризация (алгебраическая сумма отдельных видов поляризации)
электронно-ионно-проводящих пород /3,4/
В частности, при очень большой
частоте поля, превышающей 1011 Гц, поляризация породы связана только с быстрыми
видами поляризации (электронной, атомной и ионной), я поэтому она минимальна.
При частоте поля 102-1011 Гц возможны такие виды поляризации, как
релаксационная и миграционная (объемная), н связи с этим поляризация
рассматриваемой породы возрастает. И, наконец, в постоянном длительно
действующем поле могут возникать и остальные медленные виды поляризации,
вследствие чего суммарная поляризация достигает максимальных значений.
Суммарная поляризация пропорциональна средней
напряженности E электрического
поля, т. е.
![]()
,
где п – число диполей в единице
объема породы
– средний условный коэффициент
(поляризуемость) породы, значения которого уменьшаются с увеличением
однородности породы и ростом частоты поля, температуры и давления.
Все виды поляризации, успевшие
развиться за время
обработки
пород током, способствуют возникновению в них внутреннего поля, которое
направлено обратно к полю приложенному. Вследствие этого напряженность E
приложенного к породе электрического поля ослабляется по сравнению с
напряженностью E среднего поля в вакууме. Ослабление
характеризует безразмерная величина
, названная диэлектрической
проницаемостью. Она показывает, во сколько раз напряженность электрического
поля в диэлектрике (породе) ослабляется по сравнению с его напряженностью в
вакууме.
При заданном значении E
диэлектрическая проницаемость определяет поляризацию только относительно слабо
проводящих сред. В хорошо проводящих веществах заряды будут перемещаться
(мигрировать) до выравнивания их потенциалов, т. е. до того, как разность
потенциалов
между
зарядами окажется равной нулю. Это ослабляет взаимодействие зарядов приводит к
тому, что в природных проводниках и хорошо проводящих полупроводниках

(
– пройденный зарядом путь), а
стремиться
к бесконечности
.2 Диэлектрическая проницаемость
пород-коллекторов
Диэлектрическими потерями принято
называть ту часть электрической энергии, которая переходит в тепло в
диэлектрике. Потери наблюдаются как при переменном, так и при постоянном
напряжении. При постоянном токе диэлектрик характеризуется величиной удельного
сопротивления. А при переменном токе величина диэлектрических потерь величина
диэлектрических потерь определяется по углу потерь
.
(2.1),
где
, а
– угол сдвига фаз между током и напряжением
на электродах конденсатора с диэлектриком.
Процессы, происходящие в
диэлектриках под воздействием внешнего электрического поля, описываются
комплексной диэлектрической проницаемостью
(2.2),
где
– диэлектрическая проницаемость,
измеренная на высокой частоте,
– значение диэлектрической
проницаемости при
,
– время
релаксации.
Из выражения (2.1) можно выразить
величины
и
:
(2.3),
(2.4).
Эти величины называются
соответственно активная и реактивная составляющие диэлектрической
проницаемости. Активная составляющая комплексной диэлектрической проницаемости
соответствует
относительной диэлектрической проницаемости, а реактивная составляющая
характеризует
поглощение энергии внешнего электрического поля в веществе и называется
коэффициентом диэлектрических потерь. Активная и реактивные составляющие
комплексной диэлектрической составляющей зависят от частоты (рис. 2).

Рис. 6. Зависимость диэлектрической
проницаемости ε от
логарифма частоты lgw
Потери при переменном токе
больше потерь при постоянном токе, так как потери при постоянном токе
определяются лишь энергией, необходимой для передвижения заряда в диэлектрике.
При переменном же токе еще
затрачивается энергия, необходимая для перераспределения поля внутри
диэлектрика и перемещения ионов, необходимые для этого перераспределения.
Главным источником потерь служит рассеяние
электромагнитной энергии при установлении поляризации. Поляризация – обратное
смещение диэлектрических зарядов, возникающее в определённом направлении и
следующее за каждым изменением приложенного напряжения.
Если скорость установления
поляризации очень велика по сравнению со скоростью изменения электрического
поля, то поляризация будет по фазе совпадать с полем, а поляризационный ток
будет смещён по фазе относительно напряжения на 90°. Если же время поляризации
очень велико по сравнению с длительностью полупериода, то поляризация не
проявляется. Мерой скорости установления поляризации является время релаксации,
в течение которого поляризация уменьшается в
раз. Тогда максимум диэлектрических
потерь, сопровождающих поляризацию, проявляется в случае, когда время
релаксации равно
, (2,5)
где
– угловая частота переменного поля.
.3 Эквивалентные схемы для
вычисления
и
слоистого
диэлектрика
горный диэлектрический
проницаемость
Для математического описания явлений
в цепи переменного тока, содержащей конденсатор с диэлектрическими потерями,
можно пользоваться схемой замещения, которая по своему действию аналогична
заменяемому конденсатору /8/
Если слои диэлектрика соединены
параллельно, то есть плоскость раздела параллельна электрическому полю, то
целесообразно пользоваться параллельной эквивалентной схемой для каждого из
слоев.

Рис.7. Параллельное соединение
Построим векторную диаграмму
токов и напряжений в случае параллельной схемы.
Падение напряжения на активном сопротивлении R
и на конденсаторе Rc
одинаково. Общий ток складывается из токов, проходящих через R
и С.
![]()
![]()
Напряжение на активном сопротивлении
и ток, проходящий через него, находятся в одной фазе (Рис.8). В случае
конденсатора ток
опережает
напряжение
, на 90°.

Рис. 8. Векторная диаграмма токов
для параллельной схемы
Угол
– сдвиг фаз между общим током
и напряжением
. Однако в
практике применяется угол, дополняющий угол
до 90°. Этот угол называется углом
диэлектрических потерь. Из диаграммы получаем:
(2.6),
где
– электрическая проводимость.
При последовательном соединении
слоев целесообразно пользоваться последовательной эквивалентной схемой для
каждого из слоев, так как полный ток в этом случае для обоих слоев одинаков.

Рис. 9. Последовательное соединение
Ток, проходящий через активное
сопротивление R и через
конденсатор С, остается постоянным. Общее напряжение в цепи есть сумма
напряжений на R и на C.
![]()
![]()

Рис. 10. Векторная диаграмма токов
для последовательной схемы
Из диаграммы получаем:
(2.7)
.4 Абсорбционная емкость
диэлектриков
Ток состоит из двух составляющих,
сквозной ток
и
абсорбционный ток
.
Абсорбционный ток изменяется по закону:
(2.8),
где
– постоянная времени спадания тока
абсорбции.
,
(2.9),
где
– сквозная проводимость,
–
абсорбционная проводимость при ![]()
Основными причинами появления
абсорбционного тока является: медленная ориентация дипольных молекул в полярных
диэлектриках, образование объемных зарядов за счет перемещения в поле слабо
связанных зарядов, миграционная и межслоевая миграция в неоднородных
диэлектриках и диэлектриках, содержащих проводящие включения. В неоднородном
диэлектрике перераспределения зарядов не будет, когда произведение
диэлектрической проницаемости на удельное сопротивление
остается
постоянной для всех элементов объема диэлектрика. Поэтому любые включения в
диэлектрике: газо-водные поры, неоднородности в электрическом поле будут
поляризовыватся, превращаясь в макродиполи.
Ток абсорбции может существовать при
всяких изменениях напряжения на диэлектрике, в частности, при синусоидальном
напряжении. Потери мощности при переменном напряжении частотой
будут
больше, чем при постоянном напряжении.
При синусоидальном напряжении через
диэлектрик идут три синусоидальных тока /8/:
1) емкость тока
–
,
–
геометрическая емкость диэлектрика при
;
2) ток
абсорбции, который имеет активную
и реактивную
компоненты:
,
(2.10);
3) ток
сквозной проводимости

Составляющие полного тока
равны:
(2.11),
(2.12),
(2.13),
где
– абсорбционная емкость,
– сквозная
проводимость диэлектрика,
–
геометрическая емкость диэлектрика.

Отсюда полная емкость диэлектрика в
переменном поле равна
, (2.14).
Полная емкость состоит из геометрической
емкости
и
абсорбционной емкости

Амплитуда переменного тока при
наличии абсорбционной емкости выразится при пренебрежении
и
:

или
,
(2.15)
Таким образом, появление
абсорбционных токов в диэлектрике приводит к возникновению дополнительной абсорбционной
ёмкости, изменяющейся с частотой поля в соответствии с выражением (2.14),
описывающем закон частотной дисперсии.
При
,
достигает максимальной величины.
Абсорбционная ёмкость
экспериментально может быть определена либо из частотного хода ёмкости, либо в
постоянном поле по величине заряда q,
накопленного в диэлектрике.
.5 Определение постоянной релаксации
![]()
Для одного времени релаксации
изменение
абсорбционной ёмкости
с частотой
описывается законом дисперсии
(2.16),
где
– емкость при достаточно высоких
частотах,
–
абсорбционная емкость при
,
–
постоянная времени спада абсорбционного тока.
Постоянная времени релаксации
может быть
определена несколькими способами:
а) Определение
из закона дисперсии
Запишем (2.16) в виде
(2.17)
Так как емкость С и частота
изменяются
так, что величина
должна
оставаться неизменной для разных частот, т.е.
,
тогда
(2.18).
б) Определение
из
частотных формул Дебая для фактора потерь ![]()
Формула Дебая для фактора потерь
запишется в виде
(2.19),
где
– диэлектрическая проницаемость на
частоте
. Найдя из
частотных измерений
и
, два
значения
и
для двух
достаточно близких и малых частот
и
можно написать

или
(2.20).
Решая относительно
, получим

или
(2.21).
Глава 3. Методика экспериментального
исследования
.1 Изучение диэлектрических характеристик
образцов кернов ковыктинского месторождения в зависимости от частоты
Для измерения диэлектрических параметров исследуемых
образцов керна была изготовлена измерительная ячейка, состоящая из тефлонового
основания (1), латунных электродов (2), между которыми помещался исследуемый
образец. Образец фиксировался в ячейке при помощи пружины (4), к которой
прикреплен один из электродов. К основанию под электродом находится печь (5),
используемая для нагревания образца. Вся система помещена в металлический
корпус (6).
Электрическая емкость и проводимость образцов
принимались равными значениям, полученным по показанию прибора. Результаты
многократных измерений обрабатывались статистическими методами. Измерения
выполнялись на образцах керна песчаника Ковыктинского месторождения.
Измерение емкости и проводимости производилось
на приборах: измеритель иммитанса Е7-20. С помощью него регистрировалось
изменение проводимости и емкости образца в диапазоне частот 25-106 Гц.
Для измерения тангенса
диэлектрических потерь
,
действительной
и мнимой
части
диэлектрической проницаемости в диапазоне частот 25-106 Гц для образцов керна
применялись круглые электроды одинакового диаметра d = 2 см.
ε’=C/C0
(4.1)
С0=0,095·S/d,
где S
– площадь электрода,
d
– толщина образца.
Фактор потерь определяется по формуле:
(4.2)
Тангенс угла потерь определяется по формуле :
(4.3)

где G
– объемная электропроводность,
с – емкость.![]()

Рис.14. Схема измерительной ячейки
Исследуемые образцы помещались в
измерительную ячейку, которая подключалась к измерителю иммитанса Е7-20,
позволяющим исследовать зависимость диэлектрических параметров в диапазоне
частот 25-106 Гц.
Сначала в эксперименте исследовалась
частотная зависимость тангенса угла диэлектрических потерь, действительной и
мнимой части диэлектрической проницаемости от частоты при комнатных условиях.
Частотные измерения брались по показаниям емкости и проводимости. После этого
вычислялся тангенс диэлектрических потер по формуле (4.3), действительная (4.1)
и мнимая (4.2) часть диэлектрической проницаемости.

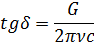
Рис. 15. Частотные спектры тангенса
угла диэлектрических потерь tgδ образцов кернов
Ковыктинского месторождения с различными размерами пор при комнатной влажности.
– №2 (d = 0,05 – 0,15 мм); 2 – №3 (d
= 0,1 – 0,3 мм); 3 – №4 (d= 0,05 – 0,2 мм);4 – №5 (d = 0,01 – 0,15 мм); 5 – №7
(d = 0,03 – 0,05 мм).

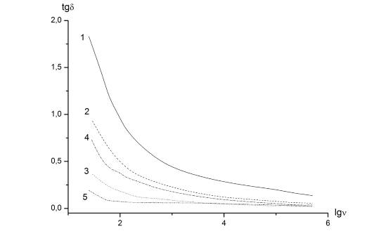
Рис. 16. Частотные спектры
действительной части диэлектрической проницаемости ε’ образцов
кернов Ковыктинского месторождения с различными размерами пор при комнатной
влажности.
– №2 (d = 0,05 – 0,15 мм); 2 – №3 (d
= 0,1 – 0,3 мм); 3 – №4 (d= 0,05 – 0,2 мм);4 – №5 (d = 0,01 – 0,15 мм); 5 – №7
(d = 0,03 – 0,05 мм).

Рис. 17. Частотные спектры мнимой
части диэлектрической проницаемости ε’’ образцов
кернов Ковыктинского месторождения с различными размерами пор при комнатной
влажности.
– №2 (d = 0,05 – 0,15 мм); 2 – №3 (d
= 0,1 – 0,3 мм); 3 – №4 (d= 0,05 – 0,2 мм);4 – №5 (d = 0,01 – 0,15 мм); 5 – №7
(d = 0,03 – 0,05 мм).
– №2 (d = 0,05 – 0,15 мм); 2 – №3 (d
= 0,1 – 0,3 мм); 3 – №4 (d= 0,05 – 0,2 мм);4 – №5 (d = 0,01 – 0,15 мм); 5 – №7
(d = 0,03 – 0,05 мм).
Анализ графиков позволяет сделать
следующие выводы:
. Величина действительной части
диэлектрической проницаемости
исследуемых образцов уменьшается
при увеличении частоты внешнего электрического поля.
. Экспериментально выявлен рост
потерь энергии в образцах кернов ковыктинского месторождения особенно при
увеличении заряженных дефектов в породах.
. Обнаружен максимум в частотной
зависимости тангенса угла диэлектрических потерь для образцов и сдвиг этого
максимума для образцов с наиболее мелкими порами в область низких частот.
3.2 Изучение диэлектрических характеристик
образцов кернов ковыктинского месторождения в зависимости от температуры
Измерение диэлектрических и релаксационных
параметров образцов, а также регистрация термостимулированных токов в них
осуществлялась с использованием экспериментальной установки, представленной на
рис. 6. Последняя включает в себя следующие основные узлы:
1. измерительная
ячейка
2. регистрирующие
приборы
3. интерфейсный
блок
4. источник
постоянного тока
5. термостат
6. компьютер
Устройство измерительной ячейки представлено на
рис. 7, где введены следующие обозначения:
1. исследуемый
образец
2. верхний
электрод
3. нижний
электрод
4. диэлектрические
стенки с нагревательной спиралью внутри
5. металлические
стенки, экранирующие образец
6. прижимной
винт с индикатором высоты
7. шкала
положения индикатора высоты
Рис. 24. Схема экспериментальной установки
Также на обоих схемах использованы следующие
обозначения входов и выходов:
1. а
– выход на цифровые измерительные приборы
2. б
– горячий спай термопары
3. в
– вход нагревательного элемента
4. г
– холодный спай термопары
Рассмотрим принцип работы экспериментальной
установки. Измерительная ячейка 1 (рис. 6), содержащая исследуемый образец,
подключается через выход “а” к цифровым приборам 2, которые в свою
очередь соединены с интерфейсным блоком 3, содержащим АЦП и выполняющим функцию
дискретизации показаний прибора по времени и передающим полученные данные в
память компьютера 6. На экране последнего отображается график зависимости
термостимулированных токов и температуры образца от времени, что позволяет
проследить кинетику физических процессов, вызванных его нагреванием.
Регистрация температуры образца осуществляется с использованием
медь-константановой термопары, горячий спай “б” которой соединен с
разъемом интерфейсного блока, а холодный “г” помещен в термостат 5,
содержащий смесь воды и льда при температуре 00С. Увеличение температуры
образца осуществляется нагревательным элементом, подключенным к источнику
постоянного тока 4.
Измерения диэлектрических и релаксационных
характеристик образцов и регистрация термостимулированных токов в них
осуществлялись с помощью следующих приборов:
1. Измеритель
иммитанса Е7-20. Используется для измерения ёмкости, проводимости в широком
диапазоне частот от 25 до 106 Гц
2. Вольтметр-электрометр
В7-49. Позволяет измерять токи с точностью до 10-15 А
Дополнительно использовались следующие
устройства:
1. Источник
постоянного тока
2. Аналитические
весы МЛТ-1, способные измерять массу образцов с точностью до 0,1 мг
3. Сушильный
шкаф, используемый для дегидратации образцов
4. Эксикатор,
содержащий насыщенный 95% раствор соды
Образцы помещались в измерительную ячейку.
Регистрация емкости и проводимости осуществляется при постоянном и равномерном
нагреве. Результаты измерений представлены на рис. 25 – 27.

Рис. 25. Температурные спектры тангенса угла
диэлектрических потерь образца керна Ковыктинского месторождения с
коэффициентом пористости k
= 20-25% и размерами пор d
= 0,05-0,1мм до 0,15-0,20мм
– 25 Гц; 2 – 103 Гц; 3 – 104 Гц; 4 – 105 Гц; 5 –
106 Гц.

Рис. 26. Температурные спектры действительной
части диэлектрической проницаемости ε’
образца керна Ковыктинского месторождения с коэффициентом пористости k
= 20-25% и размерами пор d
= 0,05-0,1мм до 0,15-0,20мм
– 25 Гц; 2 – 103 Гц; 3 – 104 Гц; 4 – 105 Гц; 5 –
106 Гц.

Рис. 27. Температурные спектры мнимой части
диэлектрической проницаемости ε’’
образца керна Ковыктинского месторождения с коэффициентом пористости k
= 20-25% и размерами пор d
= 0,05-0,1мм до 0,15-0,20мм, реже до 0,3мм.
– 25 Гц; 2 – 103 Гц; 3 – 104 Гц; 4 – 105 Гц; 5 –
106 Гц.
Анализ графиков позволяет сделать следующие
выводы:
) В температурной зависимости действительной
части диэлектрической проницаемости ε’
мнимой части диэлектрической проницаемости ε’’
образцов кернов Ковыктинского месторождения проявляются пологие максимумы,
свительствующие о перестройке структуры в исследуемой температурной области 60
0С, свидетельствующие о переходе структурированной связанной воды в объемную.
) Вырождение этих максимумов прослеживается на
более высоких частотах до 105 Гц, что связывается с наличием водных пленок и
вырождением дипольно-ориентационной поляризации молекул воды.
Выводы
Исследование диэлектрических свойств образцов
кернов Ковыктинского месторождения позволяет сделать следующие выводы:
1) Величина действительной
части диэлектрической проницаемости
исследуемых образцов уменьшается
при увеличении частоты внешнего электрического поля, что связано с вырождением
дипольно-ориентационной поляризации молекул воды, находящихся в порах
исследуемых образцов.
) Установлена зависимость
диэлектрической поляризации
от влажности. С ростом величины
адсорбции увеличивается концентрация релаксаторов в исследуемой системе, и как
следствие повышается
.
) Обнаружен максимум в
частотной зависимости тангенса угла диэлектрических потерь для образцов и сдвиг
этого максимума для образцов с наиболее мелкими порами в область низких частот.
) Обнаружены особые свойства
электрически активных систем. Установлено, что на границах раздела электрически
активной поверхности твердой низкоразмерной диэлектрической частицы и полярной
жидкой компоненты зарегистрировано появление градиентов потенциала устойчивого
внутреннего поля в таких системах. Подтверждено наличие наличие
термостимулированного тока без подачи напряжения на образец.
) Собственное поле является
катализатором процессов диссоциации в полярной матрице, что приводит к
повышению в ней концентрации свободных ионов. В результате электрического
взаимодействия ионов жидкости с заряженной поверхностью твердой фазы вблизи
последней происходит эффективное накопление (электрическая адсорбция)
противоионов, что является свидетельством проявления электретного эффекта.
Амплитуда термостимулированного тока можно считать мерой межфазного
взаимодействия. При увеличении влажности образца амплитуда тока значительно
усиливается.
Список использованной литературы
1. Страхов Н. М., Бушинский Г.И. Методы изучения
осадочных пород /- М.: Госгеолтехиздат., 1957.-610с
2. Дахнов В. Н. Геофизические методы
определения коллекторских свойств нефте- и газонасыщения горных пород /- М.:
Недра, 1985. 312с.
. Ромм. Е.С. Структурные модели порового
пространства горных пород./ – Л.: Недра, 1985. – 240с.
4. Сканави Г.И. Физика диэлектриков (слабые
поля) /- М.: ГТТЛ, 1949
5. Мецик М.С., Гладкий Г.Ю. Физика диэлектриков:
Учеб. пособие /- Иркутск. Издат–во Иркут. ун-та., 2001.-116с
Приложение №1
Табл. №1. Частотная зависимость геологических
кернов Ковыктинского месторождения для диэлектрической проницаемости, тангенса
угла диэлектрических потерь и фактора потерь энергии для образца №2 при
комнатной влажности.
F, Hz | ||||||||||||
25 | 100 | 103 | 104 | 105 | 5∙105 | |||||||
tgδ | 1,81 | 0,99 | 0,83 | 0,23 | 0,20 | 0,16 | 110 | 73 | 43 | 28 | 20 | 18 |
ε” | 202 | 69 | 19 | 8 | 4 | 2 | ||||||
Табл. №2. Частотная зависимость геологических
кернов Ковыктинского месторождения для диэлектрической проницаемости, тангенса
угла диэлектрических потерь и фактора потерь энергии для образца №3 при
комнатной влажности.
F, Hz | ||||||
25 | 100 | 103 | 104 | 105 | 5∙105 | |
tgδ | 0,74 | 0,46 | 0,26 | 0,18 | 0,05 | 0,05 |
ε’ | 35,61 | 27,15 | 19,20 | 15,69 | 13,78 | 13,43 |
ε” | 27,58 | 12,40 | 4,35 | 1,85 | 1,04 | 0,75 |
Приложение №2
Табл. №3. Частотная зависимость геологических
кернов Ковыктинского месторождения для диэлектрической проницаемости, тангенса
угла диэлектрических потерь и фактора потерь энергии для образца №4 при
комнатной влажности.
F, Hz | ||||||
25 | 100 | 103 | 104 | 105 | 5∙105 | |
tgδ | 0,09 | 0,12 | 0,084 | 0,044 | 0,024 | 0,021 |
ε’ | 16,848 | 16,716 | 13,177 | 12,141 | 11,567 | 11,7 |
ε” | 1,632 | 1,936 | 1,116 | 0,543 | 0,279 | 0,251 |
Табл. №4. Частотная зависимость геологических
кернов Ковыктинского месторождения для диэлектрической проницаемости, тангенса
угла диэлектрических потерь и фактора потерь энергии для образца №5 при
комнатной влажности.
F, Hz | ||||||
25 | 100 | 103 | 104 | 105 | 5∙105 | |
tgδ | 0,794 | 0,386 | 0,179 | 0,092 | 0,052 | 0,036 |
ε’ | 26,114 | 24,016 | 17,619 | 14,94324 | 13,608 | 13,525 |
ε” | 20,745 | 9,271 | 3,158 | 1,379 | 0,709 | 0,489 |
Приложение №3
Табл. №5. Частотная зависимость геологических
кернов Ковыктинского месторождения для диэлектрической проницаемости, тангенса
угла диэлектрических потерь и фактора потерь энергии для образца №6 при
комнатной влажности.
F, Hz | ||||||
25 | 100 | 103 | 104 | 105 | 5∙105 | |
tgδ | 3,811 | 1,517 | 0,370 | 0,116 | 0,052 | 0,036 |
ε’ | 27,475 | 20,787 | 15,244 | 12,871 | 11,746 | 11,681 |
ε” | 104,727 | 31,544 | 5,646 | 1,504 | 0,619 | 0,429 |
Табл. №6. Частотная зависимость геологических
кернов Ковыктинского месторождения для диэлектрической проницаемости, тангенса
угла диэлектрических потерь и фактора потерь энергии для образца №7 при
комнатной влажности.
F, Hz | ||||||
25 | 100 | 103 | 104 | 105 | 5∙105 | |
tgδ | 0,794414 | 0,386054 | 0,179236 | 0,092307 | 0,052129 | 0,480276 |
ε’ | 18,0792 | 14,88744 | 14,33837 | 13,07282 | 12,31171 | 12,3876 |
ε” | 1,662494 | 0,973341 | 1,13888 | 0,655051 | 0,619069 | 0,258042 |
Приложение №4
№2. Песчаник полевошпатово-кварцевый,
средне-мелко-зернистый.
Тип цемента: контактово-поровый.
Поры слагают 15-20% объема породы, почти
повсеместно соединены друг с другом. Размер пор 0,05-0,1 до 0,15мм. Все поры
заполнены цементом. Цемент аналогичен шл.№1.
№3. Песчаник разнозернистый,
полевошпатово-кварцевый.
Тип цемента: контактово-поровый.
Поры слагают 25-30% объема породы. Размер пор
0,05-0,1 до 0,15мм, реже до 0,3мм. Поры почти повсеместно соединены друг с
другом тонкими каналами (по контакту зерен), полностью заполнены темно-бурым,
черным, почти непрозрачным глинистым, глинисто-органическим веществом, редко-
карбонатом (< 1%). Весьма редко (ед. знаки) среди
глиноподобного вещества отмечаются полые изометричные поры размером до 0,05.
Вероятнее всего, это поры выщелачивания.
№4. Песчаник полевошпатово-кварцевый,
мелко-среднезернистый.
Тип цемента: контактово-поровый, взаимного
приспособления форм, редко срастанием зерен. Глинисто-органическое вещество
составляет около 20-25%. Поры- около 15%. Размер пор 0,05-0,1мм до 0,15-0,20мм.
Поры изолированы или 2-3 поры соединены. Хотя часто соединение осуществляется
через контактовый цемент. все поры заполнены. Полые поры отсутствуют.
№5. Песчаник полимиктовый, разнозернистый,
крупнозернистый.
Тип цемента: контактово-поровый, взаимного
приспособления форм, регенерационный. Поры составляют 15-20% объема породы.
Глинистое, глинисто-органическое вещество составляет примерно 25%. Поры почти
повсеместно соединены тонкими, 0,01-0,03, до 0,05мм каналами, заполнены
глинисто-органическим веществом.
Полые поры составляют 0,5% объема породы. Поры
неправильной формы, размером 0,03-0,05 до 0,1мм изолированные.
№6. Песчаник полевошпатово-кварцевый,
средне-мелкозернистый.
Тип цемента: контактово-поровый, взаимного
приспособления форм.
Цемент: карбонат 5-10%,глинисто-органическое
вещество 20-25%. Поры 25-30% объема породы, почти повсеместно соединены,
заполнены глиноподобным веществом и карбонатом. Весьма редко (единичные) поры
размером до 0,05мм, полые.
№7. Песчаник полевошпатово-кварцевый,
средне-мелкозернистый.
Тип цемента: взаимного приспособления форм,
срастанием зерен, регенерационный, пленочный, контактово-поровый..
Поры 5-10%, распределены неравномерно, заполнены
глиноподобным веществом, участками соединены между собой (через контактовый
цемент). Размер пор 0,05-0,1 до 0,15мм. Карбонат- ед. зерна. Полые поры
отсутствуют.
№8. Песчаник полевошпатово-кварцевый,
разнозернистый. Преобладает мелкозернистая фракция, приближающаяся к
алевритовой.
Тип цемента: контактово-поровый, участками
(5-10%) базальный.
Цемент: карбонат- 10-15%. глиноподобное
вещество-20-25%. На одних участках преобладает карбонат, на других- глина. Поры
до 25-30%. Размер пор 0,05-0,1 до 0,2-0,3мм. Все поры заполнены либо
карбонатом, либо глиноподобным веществом.
№1-8. Песчаник. В качестве цемента наблюдается
черное, почти непрозрачное и непрозрачное глиноподобное вещество
(предположительно это глинисто-углеродистое вещество) и крупнозернистый эпигенетический
карбонат.
Цемент заполняет промежутки между обломочными
зернами (поровые пространства), отмечается на контакте зерен, Поры, чаще всего,
сообщаются между собой через контактовый цемент, Полые поры почти повсеместно
отсутствуют.






